

Substantial assays strengthen the shallow central-south shoots and demonstrate robust continuity along the northwestern dip of the Santa Helena Breccia, supporting a significantly expanded resource footprint and a strong economic outlook for the upcoming MRE and PEA.
Allied Critical Metals Inc. (CSE: ACM,OTC:ACMIF) (OTCQB: ACMIF) (FSE: 0VJ0) (‘Allied’ or the ‘Company’), a tungsten-focused exploration and development company advancing its 100%-owned Borralha Tungsten Project in northern Portugal, is pleased to announce new assay results from the ongoing 2025 Reverse Circulation (RC) drilling campaign.
The results from holes Bo_RC_27/25 and Bo_RC_28/25 confirm strong mineralization continuity in the northwestern dip area of the Santa Helena Breccia (SHB), extending the recently discovered high-grade North dip backbone toward the north and west and reinforcing previous Mineral Resource Estimate (MRE) indications.
Borralha is delivering stronger, wider, and higher-grade intercepts than expected, positioning Allied to unlock significant resource growth and advance one of the most strategic tungsten projects in the Western world. Tungsten price reaches high of $685 USD/MTU APT, up approximately 50% in last 6 months as demand for the critical mineral increases with further supply chain restrictions from non-Western countries.
Highlights:
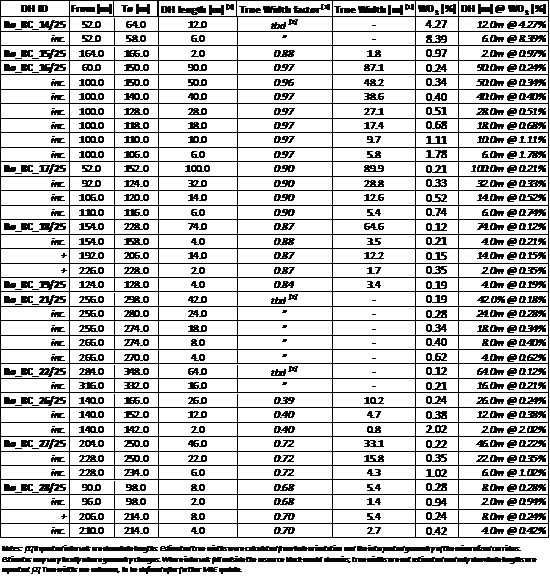
Bo_RC_27/25:
- 46.0 m (33.1 m TW) @ 0.22 % WO₃ from 204.0 m, including
- 22.0 m (15.8 m TW) @ 0.35 % WO₃ from 228.0 m, and
- 6.0 m (4.3 m TW) @ 1.02 % WO₃ from 228.0 m
-
Robust mineralized intercept expanding the northwestern dip area of the SHB.
-
Bo_RC_28/25:
- 8.0 m (5.4 m TW) @ 0.68 % WO₃ from 90.0 m, including
- 2.0 m (1.4 m TW) @ 0.94 % WO₃ from 96.0 m
- Additional 4.0 m (2.7 m TW) @ 0.42 % WO₃ from 210.0 m
- Confirms high-grade lenses within the upper SHB flank, consistent with geometry predicted in the 2024 model.
Roy Bonnell, CEO and Director of ACM, commented: ‘Borralha continues to exceed expectations. We are now consistently intersecting thicker and higher-grade zones than previously modelled. Hole Bo_RC_27/25 delivered one of the most continuous and grade-consistent intercepts drilled to date within the northwestern extension of the Santa Helena Breccia, validating our interpretation of a broad, steeply dipping feeder system. In addition, Bo_RC_28/25 confirmed the up-dip continuity of high-grade mineralization toward surface, an encouraging indicator for potential shallow extraction scenarios. Together with earlier successes, these results continue to demonstrate both excellent scale and grade expansion as we advance toward our updated Mineral Resource Estimate and Preliminary Economic Assessment.’
Geological Context
Drill hole Bo_RC_27/25 intersected a thick zone of disseminated wolframite mineralization along the northwestern structural dip of the SHB, corresponding to a domain where the 2024 MRE had identified only moderate-grade envelopes.
This intercept — including a 6 m @ 1.02 % WO₃ — demonstrates significant grade enhancement and continuity within the newly modeled corridor, supporting the revised interpretation of a wider, steeper feeder system.
Hole Bo_RC_28/25, collared 50 m northeast of Bo_RC_26/25, successfully tested the continuity of mineralization up-dip toward surface, intersecting multiple high-grade lenses associated with breccia-hosted wolframite.
Together, the two holes confirm northward and up-dip expansion potential, bridging the 2023-2024 drilling domains.
These results will directly feed into the upcoming Mineral Resource Estimate update and Preliminary Economic Assessment (PEA) scheduled for Q1 2026, aiming to delineate additional tonnage and improve confidence in high-grade zones.
Drill Program Progress
To date, 4,210 metres of drilling have been completed from the initially planned 5,625-metre Phase 1 campaign, as the desired results were achieved with more strategically focused drilling. The program focus was:
-
Expanding and upgrading the current NI 43-101 Mineral Resource Estimate (MRE), expected in Q4 2025.
-
The development of a robust Preliminary Economic Assessment (PEA).
-
Supporting underground mine design and integration with ongoing EIA review.
Further and final assay results are expected in the coming weeks as drilling has completed and the last assays of the drill campaign are being analyzed.
Table 1 – Drill hole Collar Locations and Status

To view an enhanced version of this graphic, please visit:https://images.newsfilecorp.com/files/11632/273320_6ab610bc64e5282d_001full.jpg
Table 2 – Current Campaign Interval Highlights Update

To view an enhanced version of this graphic, please visit:https://images.newsfilecorp.com/files/11632/273320_6ab610bc64e5282d_002full.jpg
Next Steps
With Phase 1 drilling campaign is finished, final results are expected in the coming weeks. Step-out holes targeted both western and northern extensions of SHB, while infill drilling will refine the core resource model. Results will continue to inform the MRE and subsequent economic studies.

Figure 1 – Drill collar plan showing planned holes for the completed 4,210 m RC campaign at the Borralha Project. The red outline delineates the main mineralized breccia zone.
To view an enhanced version of this graphic, please visit:https://images.newsfilecorp.com/files/11632/273320_6ab610bc64e5282d_003full.jpg

Figure 2 – Geological Cross-Section for hole Bo_RC_27/25.
To view an enhanced version of this graphic, please visit:https://images.newsfilecorp.com/files/11632/273320_6ab610bc64e5282d_004full.jpg
Sampling, QA/QC and Analytical Notes
Drilling was completed using reverse-circulation (RC). All sample bags were pre-labelled with a unique internal sequence number used consistently for the assay sample and corresponding reject. Sampling was conducted on 2.0 m intervals for analytics. For each 2.0 m interval, two 1.0 m reject samples were also collected as representative splits. Splitting was performed at the rig via a rotary splitter integral to the RC cyclone.
Sampling followed pre-prepared sample lists that recorded downhole metreage, sequence, and the placement of Certified Reference Materials (CRMs) and field duplicates. CRMs were inserted at a rate of 1 in 20 samples (5%) and field duplicates at 1 in 20 samples (5%), arranged so that every 10th sample alternated between a CRM and a duplicate.
Analytical and reject samples were boxed at the drill site and transported by company personnel to the project core/logging facility. Analytical samples were stored on labelled pallets pending direct shipment to ALS’s preparation laboratory in Seville, Spain. Pulps and rejects were subsequently stored securely in the project logging room.
At ALS Seville, samples were crushed to 70% passing 2 mm, riffle-split to ~250 g, and pulverized using hardened steel to 85% passing 75 μm. Pulps were shipped to ALS Loughrea (Ireland) for analysis. The primary analytical method was ME-MS81 (lithium borate fusion with ICP-MS finish). Base metals were also reported using ME-4ACD81 (four-acid digestion with ICP-MS finish). Over-limit tungsten results were re-assayed using W-XRF15b (lithium borate fusion with XRF). Analytical results were delivered directly by ALS to the Company via secure electronic transfer.
Primary disclosure remains the reported grade and interval length (and true width where known).
To the best of the Company’s knowledge, no drilling, sampling, recovery, or other factors have been identified that would materially affect the accuracy or reliability of the data referenced herein.
Qualified Person
The scientific and technical information in this release has been reviewed and approved by Mr. Vítor Arezes, BSc, MIMMM (QMR), Vice-President Exploration of Allied Critical Metals, a Qualified Person under National Instrument43-101. Mr. Arezes is not independent of Allied Critical Metals Inc. as he is an officer of the Company.
About the Borralha Tungsten Project
Allied’s Borralha Tungsten Project is one of the largest and most historically significant past-producing tungsten operations in Western Europe. Located in northern Portugal, Borralha was once the second-largest tungsten mine in the country and supplied strategic materials to European and Allied industries during the 20th century, including both World Wars and the Cold War period.
Today, the project is undergoing a modern revitalization based on a combination of scale, grade, metallurgy, and jurisdictional strength. Mineralization is dominated by coarse-grained wolframite, which is highly desirable in global markets due to its favorable processing characteristics and higher recoveries compared to scheelite-bearing deposits.
Borralha benefits from existing infrastructure, shallow mineralization, and a simple processing route, making it one of the most advanced tungsten development projects in the European Union. These attributes are particularly important in the context of the EU Critical Raw Materials Act (2024/1252) and NATO strategic autonomy initiatives, both of which explicitly identify tungsten as a defense-critical raw material subject to severe supply risk.
With the EU currently dependent on over 80% of its tungsten imports from China, Borralha represents a rare and strategic opportunity to develop a secure, domestic, and NATO-aligned supply source. As Allied continues to advance drilling, resource expansion, and economic studies, Borralha is poised to play a central role in reshaping Europe’s tungsten landscape-supporting both decarbonization technologies and defense-industrial resilience.
ON BEHALF OF THE BOARD OF DIRECTORS,‘Roy Bonnell’Roy BonnellCEO and Director
For further information or investor relations inquiries, please contact:
Dave BurwellVice President, Corporate DevelopmentEmail: daveb@alliedcritical.comTel: 403-410-7907Toll Free: 1-888-221-0915
ABOUT Allied Critical Metals
Allied Critical Metals Inc. (CSE: ACM,OTC:ACMIF) (OTCQB: ACMIF) (FSE: 0VJ0) is a Canadian-based mining company focused on the expansion and revitalization of its 100% owned past producing Borralha Tungsten Project and the Vila Verde Tungsten Project in northern Portugal. Tungsten has been designated a critical metal by the United States and other western countries, as they are aggressively seeking friendly sources of this unique metal. Currently, China and Russia represent approximately 90% of the total global supply and reserves. The Tungsten market is estimated to be valued at approximately U.S.$5 to $6 billion and it is used in a variety of industries such as defense, automotive, manufacturing, electronics, and energy.
Please also visit our website at www.alliedcritical.com
Also visit us at:
LinkedIn: https://www.linkedin.com/company/allied-critical-metals-inc/ X: https://x.com/@alliedcritical/ Facebook: https://www.facebook.com/alliedcriticalmetalscorp/ Instagram: https://www.instagram.com/alliedcriticalmetals/
The Canadian Stock Exchange does not accept responsibility for the adequacy or accuracy of this release.
Cautionary Statement Regarding Forward-Looking Information
This news release contains ‘forward-looking statements’, including with respect to the use of proceeds. Wherever possible, words such as ‘may’, ‘would’, ‘could’, ‘should’, ‘will’, ‘anticipate’, ‘believe’, ‘plan’, ‘expect’, ‘intend’, ‘estimate’, ‘potential for’ and similar expressions have been used to identify these forward-looking statements. These forward-looking statements reflect the current expectations of the Company’s management for future growth, results of operations, performance and business prospects and opportunities and involve significant known and unknown risks, uncertainties and assumptions, including, without limitation, those listed in the Company’s Listing Statement and other filings made by the Company with the Canadian securities regulatory authorities (which may be viewed under the Company’s profile at www.sedarplus.ca). Examples of forward-looking statements in this news release include, but are not limited to, statements regarding the proposed timeline and use of proceeds for exploration and development of the Company’s mineral projects as described in the Company’s Listing Statement, news releases, and corporate presentations. Should one or more of these risks or uncertainties materialize or should assumptions underlying the forward-looking statements prove incorrect, actual results, performance or achievements may vary materially from those expressed or implied by the forward-looking statements contained in this news release. These factors should be considered carefully, and prospective investors should not place undue reliance on the forward-looking statements. This list is not exhaustive of the factors that may affect any of the Company’s forward-looking statements and reference should also be made to the Company’s Listing Statement dated April 23, 2025 and news release dated May 16, 2025, and the documents incorporated by reference therein, filed under its SEDAR+ profile at www.sedarplus.ca for a description of additional risk factors. The Company disclaims any intention or obligation to revise forward-looking statements whether as a result of new information, future developments or otherwise, except as required by law.

To view the source version of this press release, please visit https://www.newsfilecorp.com/release/273320

News Provided by Newsfile via QuoteMedia
